L'amplificateur opérationnel

Un amplificateur opérationnel (aussi dénommé ampli-op ou ampli op, AO, AOP1, ALI2 ou AIL3) est un amplificateur différentiel : c'est un amplificateur électronique qui amplifie une différence de potentiel électrique présente à ses entrées.

Il a été initialement conçu pour effectuer des opérations mathématiques dans les calculateurs analogiques : il permettait de modéliser les opérations mathématiques de base comme l'addition, la soustraction, l'intégration, la dérivation et d'autres. Par la suite, l'amplificateur opérationnel est utilisé dans bien d'autres applications comme la commande de moteurs, la régulation de tension, les sources de courants ou encore les oscillateurs. Le LM741 est un des plus connus et se présente sous la forme d'un circuit intégré de 8 broches figure 2.24.

                                                       
Montage suiveur :

La tension Us de sortie est donnée par : Us=Ue

Etant donné ce résultat, vous vous demandez pourquoi utiliser ce montage, car la tension de sortie est égale à la tension d'entrée. On notera que l'amplificateur opérationnel est un composant actif et qu'il possède une faible impédance de sortie. A savoir qu'il sera capable de se comporter comme une source de tension. Cela est utile lorsque qu'en entrée vous appliquez une tension ayant un faible pouvoir de support de la charge. On parlera ainsi d'étage "tampon" ou "buffer".

Bien sûr cela ne va pas sans modification du signal d’entrée : il faut donc être prudent à l'offset introduit par l'AOP, la distorsion qu'il va insérer sur le signal d'entrée, son produit gain bande et ainsi son pouvoir à laisser passer correctement des signaux à fréquence élevées, sa dynamique d'entrée et de sortie afin de ne pas saturer sa sortie, le bruit qu'il insère etc.

On note que l'entrée et la sortie ne sont pas inversées.

Montage amplificateur inverseur :

La tension de sortie est donnée par : 

On remarque que la tension de sortie est inversée par rapport à l'entrée (elle est multipliée par -1) et que grâce au choix de R1 et R2, on peut insérer un gain.

On remarque aussi sur ce schéma que l'entrée non inverseuse est reliée à la masse. L'alimentation de ce schéma se fait de manière symétrique (+Vcc, -Vcc). Nous n'avons donc pas inséré de composante continue à notre signal de sortie. Si l'amplificateur opérationnel est alimenté de manière non symétrique (+Vcc, GND), nous insérons un pont diviseur résistif, découplé en son point de sortie, sur l'entrée + de l'AOP.

D'après le principe de fonctionnement de l'AOP que nous avons vu, si l'entrée + est reliée à la masse, l'entrée - (inverseuse) y est aussi. D'où en entrée d'après la loi d’Ohm :

Ue = R1 Ie et Us = R2 Is

 - Ue tension d'entrée,

Ie courant d'entrée. Le courant d'entrée de l'entrée inverseuse étant très faible, on peut dire que Ie = - Is. D’où la formule de départ en calculant Ue/Us.

Montage amplificateur non inverseur :

La tension de sortie est donnée par : 

La tension sur l'entrée - est donnée par le diviseur de tension (R1 R2): V- = R1/(R1 + R2).Or d'après notre principe énoncé ici, V+ = V-, d'où Us/Ue.

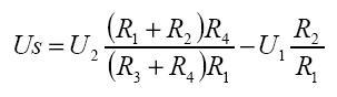
Montage soustracteur :

La tension de sortie est donnée par : 

Dans le cas général ou chaque résistance est différente nous avons :

Montage sommateur :

La tension de sortie est donnée par : 

Montage comparateur :

Dans ce montage à base d’amplificateur opérationnel monté en comparateur, nous appliquons 2 tensions U1 et U2 directement aux bornes des entrées inverseuses et non inverseuses. Lorsque la tension U1 est supérieure à U2 la tension en sortie de l’amplificateur opérationnel, la tension de sortie Us est alors à son maximum. Au contraire, lorsque U1 est inférieure à U2, la tension de sortie de l’AOP est à son minimum.

Filtre passe bas du premier ordre avec suiveur :

La fréquence de coupure à -3dB de ce filtre passe bas est donnée par : 

Comparateur à hystérésis ou trigger de Schmitt (montage inverseur) :

Seuils de basculement :

Comparateur à hystérésis ou trigger de Schmitt (montage non inverseur):

Seuils de basculement : 

Montage intégrateur :

La tension de sortie est donnée par : 

On remarque que la tension de sortie sera l’intégrale de la tension d’entrée multipliée par un gain -1/RC. Ainsi si on injecte un signal carré en entrée, nous obtiendrons un signal triangulaire en sortie.

Voici une petite table de correspondance entre entrée et sortie :


Entrée

Sortie

Carré

Triangle

Sinus

Cosinus ou sinus déphasé (insertion d’un déphasage)

Signal constant

Rampe

Triangle

Signal en x²

Montage dérivateur :

La tension de sortie est donnée par : 

Pour ce montage, nous remarquons que la sortie sera la dérivée de notre tension d’entrée: si nous injectons en entrée un signal triangulaire, nous obtiendrons un signal carrée en sortie. C’est le montage inverse du montage intégrateur.

 

Previous Post
No Comment
Add Comment
comment url